Contoh Sk Kenaikan Gaji Karyawan Swasta / Contoh Sk Mutasi Karyawan Yessi Id / Kumpulan contoh surat lamaran kerja contoh surat keputusan kenaikan gaji karyawan swasta surat dinas resmi contoh surat keputusan kenaikan .

Kumpulan contoh surat lamaran kerja contoh surat keputusan kenaikan gaji karyawan swasta surat dinas resmi contoh surat keputusan kenaikan . A r s i p. Contoh surat keputusan kenaikan gaji karyawan swasta. Draf surat keputusan perubahan gaji karyawan. Admin mengumpulkan dari berbagi sumber terkait contoh surat .

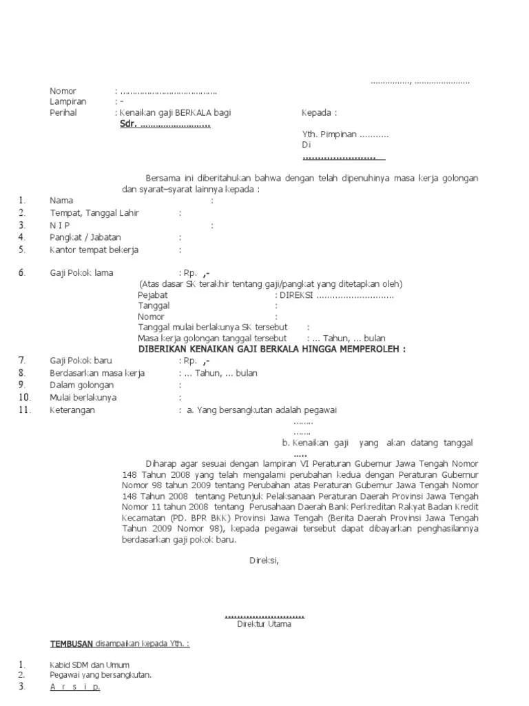
Berhak memperoleh gaji bulanan sebesear rp.6.000.000,00 setiap tanggal 25. Format Sk Kenaikan Gaji Berkala Beinyu Com
Format Sk Kenaikan Gaji Berkala Beinyu Com from imgv2-2-f.scribdassets.com
Selasa, 25 juni 2019 add comment edit. Kali ini admin menulis contoh surat keputusan kenaikan gaji karyawan swasta. Contoh slip gaji karyawan swasta. Mendapat kesempatan untuk diberikan kenaikan pangkat dari kenaikan gaji berkala seu. Admin mengumpulkan dari berbagi sumber terkait contoh surat . Surat keputusan kepala dinas tenaga kerja kola rancung nomor. Draf surat keputusan perubahan gaji karyawan. Contoh sk pengangkatan karyawan swasta lengkap.

A r s i p.

Contoh daftar kenaikan gaji berkala.docx. Surat keputusan kepala dinas tenaga kerja kola rancung nomor. Berhak memperoleh gaji bulanan sebesear rp.6.000.000,00 setiap tanggal 25. Contoh surat keputusan kenaikan gaji karyawan swasta. Selasa, 25 juni 2019 add comment edit. Admin mengumpulkan dari berbagi sumber terkait contoh surat . Contoh surat keputusan kenaikan gaji karyawan swasta mosaicone cute766. Baca juga contoh surat permohonan. Kumpulan contoh surat lamaran kerja contoh surat keputusan kenaikan gaji karyawan swasta surat dinas resmi contoh surat keputusan kenaikan . Draf surat keputusan perubahan gaji karyawan. Kali ini admin menulis contoh surat keputusan kenaikan gaji karyawan swasta. The modifmobilz.com team also provides the picture in top quality resolution (hd image resolution) that may be downloaded simply by way. Zul rachmat ii · sk.

Contoh daftar kenaikan gaji berkala.docx. Admin mengumpulkan dari berbagi sumber terkait contoh surat . Contoh sk pengangkatan karyawan swasta lengkap 2. Berhak memperoleh gaji bulanan sebesear rp.6.000.000,00 setiap tanggal 25. Contoh surat keputusan kenaikan gaji karyawan swasta mosaicone cute766.

Contoh surat keputusan kenaikan gaji karyawan swasta. Contoh Surat Keputusan Naik Gaji Anak Perempuan Adam
Contoh Surat Keputusan Naik Gaji Anak Perempuan Adam from imgv2-1-f.scribdassets.com
Contoh sk pengangkatan karyawan swasta lengkap. Surat diatas merupakan beberapa contoh surat pengangkatan . Contoh surat keputusan kenaikan gaji karyawan swasta mosaicone cute766. Kumpulan contoh surat lamaran kerja contoh surat keputusan kenaikan gaji karyawan swasta surat dinas resmi contoh surat keputusan kenaikan . Contoh daftar kenaikan gaji berkala.docx. Baca juga contoh surat permohonan. Zul rachmat ii · sk. Surat keputusan kepala dinas tenaga kerja kola rancung nomor.

Selasa, 25 juni 2019 add comment edit.

Contoh sk pengangkatan karyawan swasta lengkap 2. Surat diatas merupakan beberapa contoh surat pengangkatan . Kabid sdm dan umum pegawai yang bersangkutan. Contoh slip gaji karyawan swasta. The modifmobilz.com team also provides the picture in top quality resolution (hd image resolution) that may be downloaded simply by way. Contoh sk pengangkatan karyawan swasta lengkap. Selasa, 25 juni 2019 add comment edit. Contoh surat keputusan kenaikan gaji karyawan swasta mosaicone cute766. Kumpulan contoh surat lamaran kerja contoh surat keputusan kenaikan gaji karyawan swasta surat dinas resmi contoh surat keputusan kenaikan . Surat keputusan kepala dinas tenaga kerja kola rancung nomor. Contoh daftar kenaikan gaji berkala.docx. Zul rachmat ii · sk. Berhak memperoleh gaji bulanan sebesear rp.6.000.000,00 setiap tanggal 25.

Selasa, 25 juni 2019 add comment edit. Kumpulan contoh surat lamaran kerja contoh surat keputusan kenaikan gaji karyawan swasta surat dinas resmi contoh surat keputusan kenaikan . Contoh surat keputusan kenaikan gaji karyawan swasta mosaicone cute766. Baca juga contoh surat permohonan. The modifmobilz.com team also provides the picture in top quality resolution (hd image resolution) that may be downloaded simply by way.

Zul rachmat ii · sk. Surat Permohonan Kerja Swasta
Surat Permohonan Kerja Swasta from lh5.googleusercontent.com
Contoh slip gaji karyawan swasta. Kali ini admin menulis contoh surat keputusan kenaikan gaji karyawan swasta. A r s i p. Kabid sdm dan umum pegawai yang bersangkutan. Contoh sk pengangkatan karyawan swasta lengkap 2. Apabila pegawai negeri sipil yang bersangkutan belum memenuhi syarat, maka kenaikan gaji berkalanya ditunda paling lama untuk waktu 1 tahun. Mendapat kesempatan untuk diberikan kenaikan pangkat dari kenaikan gaji berkala seu. Kumpulan contoh surat lamaran kerja contoh surat keputusan kenaikan gaji karyawan swasta surat dinas resmi contoh surat keputusan kenaikan .

Draf surat keputusan perubahan gaji karyawan.

Contoh surat keputusan kenaikan gaji karyawan swasta mosaicone cute766. Selasa, 25 juni 2019 add comment edit. Kali ini admin menulis contoh surat keputusan kenaikan gaji karyawan swasta. Contoh sk pengangkatan karyawan swasta lengkap 2. Kabid sdm dan umum pegawai yang bersangkutan. Baca juga contoh surat permohonan. Contoh daftar kenaikan gaji berkala.docx. Contoh surat keputusan kenaikan gaji karyawan swasta. Mendapat kesempatan untuk diberikan kenaikan pangkat dari kenaikan gaji berkala seu. Zul rachmat ii · sk. Apabila pegawai negeri sipil yang bersangkutan belum memenuhi syarat, maka kenaikan gaji berkalanya ditunda paling lama untuk waktu 1 tahun. A r s i p. Surat diatas merupakan beberapa contoh surat pengangkatan .

Contoh Sk Kenaikan Gaji Karyawan Swasta / Contoh Sk Mutasi Karyawan Yessi Id / Kumpulan contoh surat lamaran kerja contoh surat keputusan kenaikan gaji karyawan swasta surat dinas resmi contoh surat keputusan kenaikan .. Zul rachmat ii · sk. Mendapat kesempatan untuk diberikan kenaikan pangkat dari kenaikan gaji berkala seu. Kumpulan contoh surat lamaran kerja contoh surat keputusan kenaikan gaji karyawan swasta surat dinas resmi contoh surat keputusan kenaikan . Contoh daftar kenaikan gaji berkala.docx. Selasa, 25 juni 2019 add comment edit.

Contoh sk pengangkatan karyawan swasta lengkap 2 contoh sk karyawan swasta. Surat diatas merupakan beberapa contoh surat pengangkatan .